Model of Maximum Load on a Distributed Cache (Non-Uniform Access Patterns)

Model of Maximum Load on a Distributed Cache (Non-Uniform Access Patterns)

In a previous post I discussed the maximum gap of draws from U(0,1)nU\Big(0, 1)^{n}. There is a clear application of this problem to load balancing across many nodes. Given a dataset (XX) of dd keys randomly hashed to one of nn nodes, we can expect that no node is responsible for more than dlog(n)/n\sim d\log\Big(n)/n keys. However, requests are not distributed equally across keys. A node storing a few popular keys may have much higher load than a node storing hundreds of less frequently accessed keys. Today we’ll calculate a bound for max load (MM) assuming keys an arbitrary distribution over XX and that keys are assigned to nodes at random with a hash function, h:X[1,n]h\colon X \to [1, n].

Because the standard Pareto distribution doesn’t have an nthn^{th} moment when α<n\alpha \lt n we’ll prefer the more complicated-looking, but much friendlier alternative. The truncated Pareto also maps onto the concept of a dataset with known size (i.e. dHd \leftrightarrow H) quite well.

I’ll use the truncated Pareto distribution as a concrete example, although the bounds given will apply for any distribution. The density of a truncated Pareto defined on [1,H]\Big[1, H] is as follows.

fα,H(x)=αxα11Hα,α>0\begin{equation} f_{\alpha, H}\Big(x) = {\frac {\alpha x^{-\alpha-1}}{1-{H}^{-\alpha}}} \ , \ \alpha > 0 \end{equation}

We can find a loose upper bound on MM by assuming the most frequently accessed keys all hash to a single node. This event occurs with very low probability (i.e. ndlog(n)/n0n^{-\lceil d\log\Big(n)/n \rceil} \approx 0) and isn’t all that useful.

M1dlog(n)/nfα,d(x)dx𝑤.𝑣.h.𝑝\begin{equation} M \leq \int_{1}^{\lceil d\log\Big(n)/n \rceil} f_{\alpha, d}\Big(x) \ dx \ \qquad \textit{w.v.h.p} \end{equation}

I was quite proud of myself for this idea! Too big for my britches again.

Alternatively, we can treat 𝐝𝐞𝐧𝐬𝐢𝐭𝐲\textbf{density} as a random variable and estimate the mean and variance of the 𝐝𝐞𝐧𝐬𝐢𝐭𝐲\textbf{density} over [1,d]\Big[1, d]. From there we can bound MM by bounding the total load generated by some number of instances of a random variable with the following properties:

E[fα,d(x)]1d1dfα,d(x)dx=1dVar[fα,d(x)]1d(fα,d(x)1d)2dx\begin{equation} \begin{aligned} E\Big[f_{\alpha, d}\Big(x)] & \approx & \frac{1}{d} \int_{1}^{d} f_{\alpha, d}\Big(x) \ dx = \frac{1}{d} \\ \text{Var}\Big[f_{\alpha, d}\Big(x)] & \approx & \int_{1}^{d} \left(f_{\alpha, d}\Big(x) - \frac{1}{d}\right)^2 \ dx \end{aligned} \end{equation}

This approach might be viable given a distribution with faster decaying tails, but in this case it produced a variance too high to be of any use. In general, methods that try to find MM by bounding the load on a fixed number of keys also consider the event that other nodes with fewer keys exceed that bound as well. This gets dodgy very quickly, I want no parts of it.

The most successful approach I tried involved re-framing the problem to focus more on load attributable to each node rather than sums of keys’ request frequencies. Consider a collection of nn functions gj:{0,1}d[0,1]g_j \colon \{0, 1\}^d \to \Big[0, 1]. Each function takes arguments corresponding to whether the 1st,2nd,,dth1^{st}, 2^{nd}, \ldots, d^{th} key hashes to the jthj^{th} node and returns the load on that node. For a discrete distribution over XX we’ll define gjg_j as follows:

For continous distributions we can define f(xi)f\big(x_i) in terms of the difference in the CDF. i.e. f(xi)F(xi+1)F(xi)f\big(x_i) \approx F\Big({x_i + 1}) - F\Big({x_i});

gj({0,1}d)=i=1df(xi)𝟙[h(xi)=j]\begin{equation} g_j\big(\{0, 1\}^{d}) = \sum_{i=1}^{d} f\big(x_i) \cdot \mathbb{1}\big[h\big({x_i}) = j] \end{equation}

The following two properties then make it possible to apply McDairmid’s inequality on a collection of nodes.

McDairmid’s inequality (below) allows us to bound each gjg_j about it’s expectation with tunable certainty, thus we can find an ϵ\epsilon sufficiently large that the bound holds with high probability.

P[g(x1,x2,,xd)E[g(x1,,xd)]ε]e2ε2/i=1df(xi)2\begin{equation} P\left[g\big(x_{1},x_{2},\ldots ,x_{d})- E\big[g\big(x_{1},\ldots,x_{d})] \geq \varepsilon \right] \leq e^{-2\varepsilon ^{2} / \sum _{i=1}^{d}f\big(x_{i})^{2}} \end{equation}

In the diagrams at left I:

  1. Calculate an upper bound on MM that holds 𝑤.h.𝑝\textit{w.h.p}.
  2. Simulate MM under Pareto distributed load to verify these results…
# case #1: max. load
d, n, a, mu, p = 2000, 20, 0.4, 1/20, []
t = ss.truncpareto(a, d)
diffs = [
  (t.cdf(x+1)-t.cdf(x))**2 for x in range(1,d+1)
]
for i in range(1,d+1):
   p.append(np.exp(-(2*(i/d)**2)/sum(diffs)))
# case #1 - simulation 
maxes = []
diffs = [
  t.cdf(x+1)-t.cdf(x) for x in range(1,d+1)
]
for j in range(20000):
   ns = collections.defaultdict(np.float64)
   for i, nid in enumerate(
          np.random.randint(0,n,d)
  ):
       ns[nid] += diffs[i]
   maxes.append(sorted(ns.values())[n-1])

𝐍.𝐁.\textbf{N.B.} McDairmid’s inequality is closely related to Hoeffeding’s Lemma. While McDairmid’s only requires bounded differences, we have differences that are exclusively ±f(xi)\pm f\Big(x_i).

The remainder of this post works through an example using pareto distributed load and d=2000,α=0.4,n=20d=2000, \alpha=0.4, n=20.

𝐅𝐢𝐠. 𝟏\textbf{Fig. 1}: Upper Bound of MM With Pareto Request Patterns (M0.4216𝑤.h.𝑝M \leq 0.4216 \ \textit{w.h.p})
𝐅𝐢𝐠. 𝟐\textbf{Fig. 2}: Simulated MM With Pareto Request Patterns (M0.3889M \approx 0.3889)

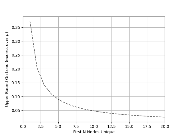
We can construct a tighter bound if we can assume the cc most requested keys all hash onto different nodes. Rearranging McDairmid’s inequality gives Mc*M_c^*, a bound that’s conditioned on this event. To achieve Mc*M_c^* the maximum load generated from keys (c,d]\Big(c, d\Big] must land on the same node as x1x_1. This is quite unlikely.

Mc*=f(x1)+1n+(log(n)2i=cdf(xi)2)1/2,c[1,d)\begin{equation} M_c^* = f\Big(x_1) + \frac{1}{n} + \left( \frac{\log\big(n)}{2} \sum_{i=c}^d f\big(x_i)^2 \right)^{1/2}, \qquad c \in \Big[1, d) \end{equation}

Pr[MMc*top c keys on uniq. nodes]<1n2\begin{equation} Pr\left[M \geq M_c^* \mid \text{top c keys on uniq. nodes} \right] \lt \frac{1}{n^{2}} \end{equation}

# case #2: conditional max. load
for i in range(0,n):
  cml = (0.5*np.log(n)*sum(diffs[i:]))**(1/2)
  cmls.append(cml)
𝐅𝐢𝐠. 𝟑\textbf{Fig. 3}: Maximum Excess Load Given First cc Keys on Unique Nodes (Mc*)\Big(M_c^*)