Mastodon
Model of Maximum Load on a Distributed Cache
Given gaps distributed by
,
we replace
and
with
and
respectively.
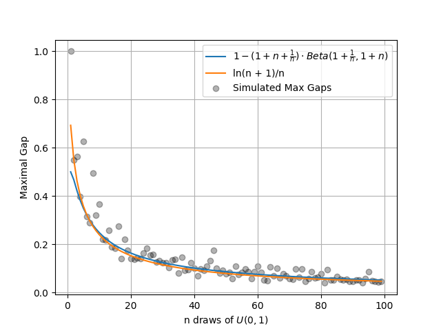
I have previously written about the gap
between consecutive order statistics of
.
In this post I’m just going to note several ways to estimate the
expectation of the maximum gap from a sample of
draws. This isn’t a purely academic exercise, estimating gaps of the
uniform is of particuar interest when analyzing load patterns in
distributed load balancing algorithms (e.g. consistent hashing).
— Estimates for Expected Max Gap 
Adjacent order statistics of
draws of
are distributed as
.
We’ll approximate
as
and use the inverse CDF of the exponential to estimate the expectation
of the maximum gap as a function of
.
We can still arrive at
without this handy fact about order statistics memorized. Consider a
point
and a ball centered at
with radius
.
The probability that any of
other points fall inside
is
.
This is the CDF for
and the argument proceeds as above.
If we want to be more precise we can calculate the CDF of the maximum
of
instances of
.
This more complicated calculation yields a result that is on the order
of
.
Now we can calculate the expectation of the largest gap from it’s
CDF. This is made easier because Wolfram Alpha catches that
.
From there we get the following result by noticing this is
the Beta function.